九游会·(j9)官方网站-真人游戏第一品牌

j9九游会制药 j9九游会制药

相关链接
昕美®
注射用地西他滨

通用名称:注射用地西他滨

商品名称:昕美

英文名称:Decitabine for Injection

汉语拼音:Zhusheyong Dixitabin

注射用地西他滨
【药品名称】

通用名称:注射用地西他滨

商品名称:昕美

英文名称:Decitabine for Injection

汉语拼音:Zhusheyong Dixitabin

【成份】本品主要成份为地西他滨。
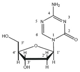
化学名称:4-氨基-1-(2-脱氧-β-D-赤式-呋喃核糖)-1,3,5-三嗪-2(1H)-酮

化学结构式:

分子式:C8H12N4O4
分子量:228.21
辅料:磷酸二氢钾、氢氧化钠。
【性状】本品为白色或类白色粉末或疏松块状物。
【适应症】适用于已经治疗、未经治疗、原发性和继发性骨髓增生异常综合症(MDS),包括按法国-美国-英国协作组分类诊断标准(FAB分型)分类的所有5个亚型[难治性贫血(RA)、难治性贫血伴环形铁粒幼细胞增多(RARS)、难治性贫血伴原始细胞增多(RAEB)、难治性贫血伴原始细胞增多转变型(RAEB-t)、慢性粒-单核细胞白血病(CMML)]和按MDS国际预后积分系统(IPSS)分为中危-1、中危-2及高危等级的MDS。
【规格】(1) 10mg;(2)50mg。
【用法用量】本品治疗期间须进行全血和血小板计数以监测临床反应和毒性,保证在每个给药周期前至少达到最低限。在开始治疗前还应检测肝脏生化和血清肌酐。
推荐两种给药方案:
给药方案一(3天给药方案)
地西他滨给药剂量为15mg/m²,连续静脉输注3小时以上,每8小时一次,连续3天。患者可预先使用常规止吐药。
给药周期
每6周重复一个周期。推荐至少重复4个周期。然而,获得完全缓解或部分缓解的患者可以治疗4个周期以上。如果患者能继续获益可以持续用药。
依据血液学实验室检查值进行的剂量调整或延迟给药
如果经过前一个周期的地西他滨治疗,血液学恢复(中性粒细胞绝对计数[ANC]≥1,000/μL,血小板≥50,000/μL)需要超过6周,则下一周期的治疗应延迟,且剂量应按以下原则进行暂时性的调整:
●恢复时间超过6周,但少于8周-给药应延迟2周,且重新开始治疗剂量减少到11 mg/m²,每8小时一次,(33 mg/m²/天,99 mg/m²/周期);
●恢复时间超过8周,但少于10周-患者应进行疾病进展的评估(通过骨髓穿刺评估),如未出现进展,给药应延迟2周以上,重新开始时剂量应减少到11mg/m²,每8小时一次(33 mg/m²/天,99 mg/m²/周期),然后在接下来的周期中,根据临床情况维持或增加剂量。
依据非血液学毒性进行的剂量调整或延迟给药
●在第一个地西他滨治疗周期后,如果出现以下非血液学毒性,暂停地西他滨用药直至毒性消失:1)血清肌酐≥2mg/dL;2)丙氨酸氨基转移酶(ALT)、总胆红素≥2倍正常值最高上限(ULN);3)活动性或未控制的感染。
给药方案二(5天给药方案)
地西他滨的给药剂量为20 mg/m²,连续静脉输注1小时,每天一次,连续5天。每4周重复一个周期。患者可预先使用常规止吐药。
如果出现骨髓抑制,后续治疗周期应推迟至血液学指标恢复(ANC≥1,000/μL,血小板≥50,000/μL)。如果出现非血液学毒性亦应参照方案一处理。
基于国外临床研究数据提示与3天给药方案相比,5天给药方案具有更好的耐受性。该方案已经在国外获得批准。中国人群应用经验有限。请主治医生根据中国患者自身状况选择合理给药方案。
静脉给药操作
地西他滨是细胞毒性药物,操作和配制地西他滨时应当小心。应当采用恰当的处理和处置抗肿瘤药物的手段。
本品应当在无菌条件下用10mL注射用水复溶:配制成每毫升约含5.0 mg地西他滨,pH6.7~7.3的溶液。复溶后,立即再用0.9%NaCl注射液、5%葡萄糖注射液或乳酸林格氏液进一步稀释成终溶度为0.1~1.0mg/mL的溶液。建议即配即用。如复溶后15分钟未能使用,稀释液必须用2~8℃的冷输液配制,并在2~8℃(360F~460F)保存,最多不超过7小时。
只要溶液和容器允许,非口服给药的药品在给药前应检查可见异物和颜色。当出现可见异物或颜色变化,请勿使用。