九游会·(j9)官方网站-真人游戏第一品牌

j9九游会制药 j9九游会制药

相关链接
普来润®
马来酸阿法替尼片

通用名称:马来酸阿法替尼片

商品名称:普来润

英文名称:Afatinib Dimaleate Tablets

汉语拼音:Malaisuan Afatini Pian

马来酸阿法替尼片
【药品名称】

通用名称:马来酸阿法替尼片

商品名称:普来润

英文名称:Afatinib Dimaleate Tablets
汉语拼音:Malaisuan Afatini Pian

【成份】

本品主要成份为马来酸阿法替尼。
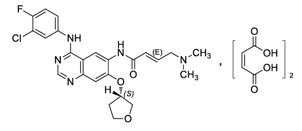
 化学名称:(2E)-N-[4-(3-氯-4-氟苯氨基)-7-[[(3S)-氧杂-3-环戊基]氧]喹唑啉-6-基]-4-(二甲基氨基)丁-2-烯酰胺二马来酸盐
 化学结构式:

 

分子式:C24H25ClFN5O3·2C4H4O4
 分子量:718.08
 辅料:乳糖、微晶纤维素、交联聚维酮、二氧化硅、硬脂酸镁、薄膜包衣预混剂(胃溶型)

【性状】本品为薄膜衣片,除去包衣后显白色至淡黄色。
【适应症】

本品适用于以下患者治疗:
1.具有表皮生长因子受体(EGFR)基因敏感突变的局部晚期或转移性非小细胞肺癌(NSCLC),既往未接受过EGFR 酪氨酸激酶抑制剂(TKI)治疗。
2.含铂化疗期间或化疗后疾病进展的局部晚期或转移性鳞状组织学类型的非小细胞肺癌(NSCLC)

【规格】

按 C24H25ClFN5O3计(1)20mg;( 2)30mg;( 3)40mg

【用法用量】

本品应在经验丰富的医生指导下使用。开始治疗之前应采用经批准的检测方法确定EGFR的突变状态。
 推荐剂量
 阿法替尼的推荐剂量 阿法替尼的推荐剂量 阿法替尼的推荐剂量 为 40mg,每日一次。 目前尚无充分证据可从 50mg剂 量中 得到更大 得到更大 获益 。

阿法替尼不应与食物同服。在进食至少 3小时或进食前至少 1小时服用阿法替尼。 (见【药物相互作用】和【药代动力学】)应整片用水吞服。

注:详情请见产品说明书