九游会·(j9)官方网站-真人游戏第一品牌

j9九游会制药 j9九游会制药

相关链接
坦能®
注射用福沙匹坦双葡甲胺

通用名称:注射用福沙匹坦双葡甲胺

商品名称:坦能

英文名称:Fosaprepitant Dimeglumine for Injection

汉语拼音:Zhusheyong Fushapitan Shuangpujia’an

注射用福沙匹坦双葡甲胺
【药品名称】

通用名称:注射用福沙匹坦双葡甲胺

商品名称:坦能

英文名称:Fosaprepitant Dimeglumine for Injection
汉语拼音:Zhusheyong Fushapitan Shuangpujia’an

【成份】本品主要成份为福沙匹坦双葡甲胺。
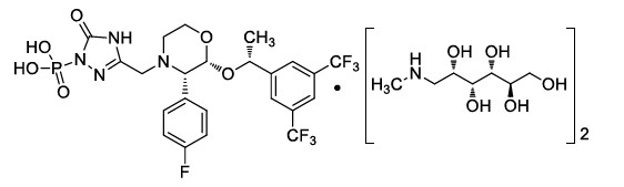
化学名称:1-脱氧-1-(甲氨基)-D-山梨醇[3-[[(2R,3S)-2-[(1R)-1-[3,5-二(三氟甲基)苯基]乙氧基]-3-(4-氟苯基)-4-吗啉基]甲基]-2,5-二氢-5-氧代-1H-1,2,4-三唑-1-基]磷酸盐(2:1)

化学结构式:

分子式:C23H22F7N4O6P·2(C7H17NO5)
分子量:1004.83
辅料:乳糖、聚山梨酯80、依地酸二钠、氢氧化钠、盐酸。
【性状】本品为白色或类白色块状物或粉末。
【适应症】与其他止吐药物联合给药,适用于成年患者预防高度致吐化疗药物(HEC)初次和重复治疗过程中出现的急性和迟发性恶心和呕吐。
【规格】0.15 g(按C23H22F7N4O6P 计)
【用法用量】

预防成人HEC 引起的恶心和呕吐
在预防因HEC 所致的恶心和呕吐时,本品、地塞米松和5-HT3 拮抗剂的推荐剂量如表1 所示。本品输注时间20-30 分钟,于第一天化疗开始前30 分钟完成静脉输注给药。

注:详情请见产品说明书