九游会·(j9)官方网站-真人游戏第一品牌

j9九游会制药 j9九游会制药

相关链接
恒特®
罗红霉素缓释片

通用名称:罗红霉素缓释片

商品名称:恒特

英文名称:Roxithromycin Sustained-release Tablets

汉语拼音:Luohongmeisu Huanshipian

罗红霉素缓释片
【药品名称】通用名称:罗红霉素缓释片
商品名称:恒特
英文名称:Roxithromycin Sustained-release Tablets
汉语拼音:Luohongmeisu Huanshipian
【成份】本品主要罗红霉素 。
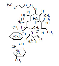
化学名称: 9-[O -[(2 -甲氧基 乙氧基 )-甲基 ]肟]红霉素。

化学结构式:


分子式: C41 H76 N2O15

分子量: 837.03
【性状】本品为类白色薄膜衣片,除去本品为类白色薄膜衣片,除臭、味苦。
【适应症】适应于敏感菌株引起的下列染:
上呼吸道感染:包括急性咽炎、慢性咽炎急性发作、化脓扁桃体炎。
下呼吸道感染:慢性支气管炎急发作、社区获得性肺炎、急性支气管炎合并细菌性感染。
【规格】0.3g 。
【用法用量】

用法:成人口服。
用量:一次 0.3g(1片),一日 1次,疗程7~10天

注:详情请见产品说明书