九游会·(j9)官方网站-真人游戏第一品牌

j9九游会制药 j9九游会制药

相关链接
达蓓宁®
盐酸鲁拉西酮片

通用名称:盐酸鲁拉西酮片

商品名称:达蓓宁

英文名称:Lurasidone Hydrochloride Tablets

汉语拼音:Yansuan Lulaxitong Pian

盐酸鲁拉西酮片
【药品名称】

通用名称:盐酸鲁拉西酮片

商品名称:达蓓宁

英文名称:Lurasidone Hydrochloride Tablets

汉语拼音:Yansuan Lulaxitong Pian

【成份】

本品主要成份为盐酸鲁拉西酮。
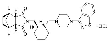
化学名称:
(3aR,4S,7R,7aS)-2-[(1R,2R)-2-[4-(1,2-苯并异噻唑-3-基)哌嗪-1-基甲基]环己基甲基]六氢-4,7-亚甲基-2H-异吲哚-1,3-二酮盐酸盐
化学结构式:

分子式:C28H36N4O2S·HCl
分子量 :529.14

【性状】本品为薄膜衣片,去除包后显白色或类白色。
【适应症】精神分裂症。 
【规格】按 C28H36N4O2S·HCl计(1)20mg (2)40 mg
【用法用量】

一般成人的初始剂量为每次40 mg,每日一次,初始剂量不需要进行滴定。根据症状可增加到每次80mg,每日一次。本品应与食物(至少350千卡)同服。

注:详情请见产品说明书