九游会·(j9)官方网站-真人游戏第一品牌

j9九游会制药 j9九游会制药

相关链接
泽朗®
注射用比伐芦定

通用名称:注射用比伐芦定

商品名称:泽朗

英文名称:Bivalirudin For Injection

汉语拼音:Zhusheyong Bifaluding

注射用比伐芦定
【药品名称】

通用名称:注射用比伐芦定

商品名称:泽朗

英文名称:Bivalirudin For Injection

汉语拼音:Zhusheyong Bifaluding

【成份】本品主要成份为比伐芦定。
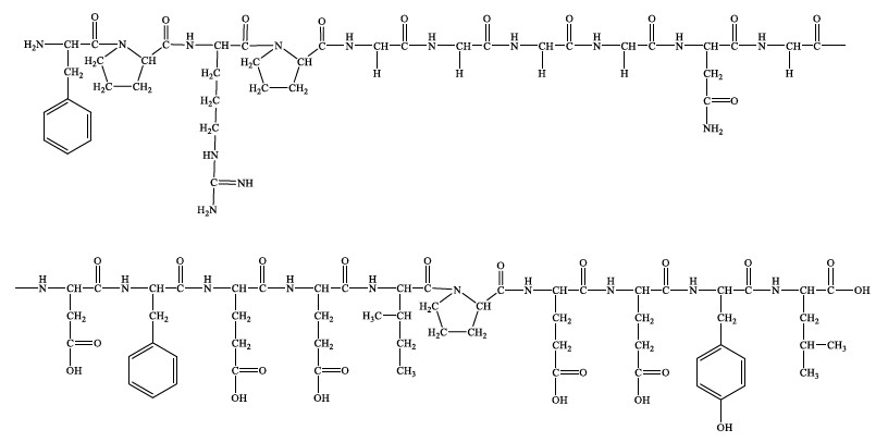
化学名称:D-苯丙氨酰-L-脯氨酰-L-精氨酰-L-脯氨酰-甘氨酰-甘氨酰-甘氨酰-甘氨酰-L-天冬酰胺酰-甘氨酰-L-天冬氨酰-L-苯丙氨酰-L-谷氨酰-L-谷氨酰-L-异亮氨酰-L-脯氨酰-L-谷氨酰-L-谷氨酰-L-酪氨酰-L-亮氨酸

化学结构式:

分子式:C98H138N24O33
分子量:2180.29(以无水的游离碱肽计)
辅 料:甘露醇,氢氧化钠。
【性状】本品为白色疏松状物或无定形固体;极具引湿性。
【适应症】比伐芦定是一种直接凝血酶抑制剂,作为抗用于以下患者:
1、经皮腔内冠状动脉成形术(PTCA):
用于接受经皮腔内冠状动脉成形术(PTCA)的不稳定型心绞痛患者。
2、经皮冠状动脉介入术(PCI):
在REPLACE-2研究(见临床试验项)所列举情况下,与临时使用的血小板糖蛋白IIb/IIIa受体拮抗剂(GPI)合用,用于进行经皮冠状动脉介入治疗(PCI)的患者。
肝素诱导的血小板减少症(HIT)或肝素诱导的血小板减少并血栓形成综合征(HITTS)或存在上述风险的患者进行经皮冠状动脉介入治疗(PCI)。
与阿司匹林联合使用:
在上述适应症中,比伐芦定应与阿司匹林合用,而且仅在联合使用阿司匹林的患者中进行过研究。
在不进行PTCA或PCI的急性冠脉综合征患者中,比伐芦定的安全性和疗效尚未建立。
【规格】0.25g(按C98H138N24O33计)。
【用法用量】

本品仅用于静脉注射和静脉输注。 

建议比伐芦定与阿司匹林(每天 300~325mg)合用。

注:详情请见产品说明书